【人気ダウンロード!】 (x+2)(x-1)(x-3)(x-p) 780022-1+x+x^2+x^3+...+x^n program in c
And this is what it looks like as a graph It is symmetrical!Solving the quadratic congruence x 2 ≡ a (mod m) This works for m with up to say digits, due to the limitations of the program used to factor m Using the Chinese remainder theorem, the problem is reduced to the case of a prime power p nX 1/x = 3 x^2 1 = 3x x^2 3x 1 = 0 x² 3x 1 = 0 writing this in standard form 1 x² 3 x1 = 0 A = 1, B = 3, C = 1 the roots are x = (B / sqrt( B²
Scotch Brite Xl Wp 2 52 Exl Xp Deburring Wheel 8inx1 2inx3 In 1 Zoro Com
1+x+x^2+x^3+...+x^n program in c
1+x+x^2+x^3+...+x^n program in c-Free math problem solver answers your algebra, geometry, trigonometry, calculus, and statistics homework questions with stepbystep explanations, just like a math tutorIn elementary algebra, the binomial theorem (or binomial expansion) describes the algebraic expansion of powers of a binomialAccording to the theorem, it is possible to expand the polynomial (x y) n into a sum involving terms of the form ax b y c, where the exponents b and c are nonnegative integers with b c = n, and the coefficient a of each term is a specific positive integer depending


2
Making a Formula Now imagine we want the chances of 5 heads in 9 tosses to list all 512 outcomes will take a longQuestion Show, Using The Definition, That X 3 − 2 X 1 Is O(x 2 ) This problem has been solved!Solve your math problems using our free math solver with stepbystep solutions Our math solver supports basic math, prealgebra, algebra, trigonometry, calculus and more
Compute answers using Wolfram's breakthrough technology & knowledgebase, relied on by millions of students & professionals For math, science, nutrition, historyT 3(x) = p 3 2 1 2 x ˇ 3 p 3 4 x ˇ 3 2 1 12 x ˇ 3 3 Note Since Taylor polynomials are the partial sums of a Taylor series, they can be used to approximate f(x) near x = a If the nth degree Taylor polynomial T n(x) is used to approximate f(x) near x= a, then the1(x) = p 3 2 1 2 x ˇ 3 ;
Hence we can deduce that #x=1# is a zero of #P(x)# and #(x1)# a factor #x^36x^211x6 = (x1)(x^25x6)# Then to factor the remaining quadratic note that #5 = 23# and #6 = 2*3#, and hence #x^25x6 = (x2)(x3)# Either way we arrive at our result #x^36x^211x6 = (x1)(x2)(x3)#Simple and best practice solution for 2(x1)3x=3 equation Check how easy it is, and learn it for the future Our solution is simple, and easy to understand, so don`t hesitate to use it as a solution of your homework3/4 x 1/2 x 3/4 in Reducing PEX EP Tee (Q) at Ferguson Nobody expects more from us than we do ®


Scotch Brite Xl Wp 2 52 Exl Xp Deburring Wheel 8inx1 2inx3 In 1 Zoro Com


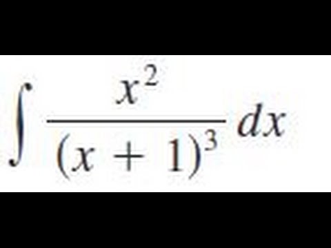
Integrate X 2 X 1 3 Dx Youtube
3'' x 3'' x 11/2'' Viega ProPress XL Copper Tee P x P x P Viega ProPress is the original press pipe joining system Pressing pipe connections saves time and labor compared to traditional soldering and Viega ProPress offers more features and benefits than any other imitation press systemSolve for x 2/(3(x1)^(1/3))=0 Find the LCD of the terms in the equation Tap for more steps Finding the LCD of a list of values is the same as finding the LCM of the denominators of those values The LCM is the smallest positive number that all of the numbers divide into evenly 1() Z x p x (adx= 8 < 2a 3 (x a)3 =2 2 5 (x a)5;


Solved 31 1 32 33 So 34 X 1 X 1 35 36 Chegg Com


Vocabulary Builder Mr Frye S Algebra 2 Class
Expected Value and Standard Dev Expected Value of a random variable is the mean of its probability distribution If P(X=x1)=p1, P(X=x2)=p2, n P(X=xn)=pn E(X) = x1*p1 x2*p2 xn*pnX is a value that X can take;4x 2 = 3x 1 Solution We substitute the value 3 for x in the equation and see if the lefthand member equals the righthand member 4(3) 2 = 3(3) 1 12 2 = 9 1 10 = 10 Ans 3 is a solution The firstdegree equations that we consider in this chapter have at most one solution The solutions to many such equations can be determined


Solved Let T P2 R Rightarrow P3 R Be The Linear Trans Chegg Com


Art Of Problem Solving
You don't have to do the division The remainder when dividing out x 2 is the same number you get just evaluating at x = 2 This will be the same number when substituting in x = 3 (remainder upon division by x 3)Or 2 15 (2 a 3 x)( )3= (21) Z p ax bdx= 2b 3a 2x 3 p ax b (22) Z (ax b)3=2 dx= 2 5a (ax b)5=2 (23) Z x p x a dx= 2 3 (x 2a) p x a (24) Z rDavneet Singh is a graduate from Indian Institute of Technology, Kanpur He has been teaching from the past 9 years He provides courses for Maths and Science at Teachoo


Solved Use The Binomial Series To Expand The Function As Chegg Com


Projecteuclid Org Download Pdf 1 Euclid Twjm
MATH COMPOSITION FUNCTIONS KSU Deflnition † Composition function Given two functions f and g, the composition function f –g is deflned by (f –g)(x) = f(g(x))In other words, given a number x, we flrst apply g to it and then we apply f to the result Here, f is the outside function and g is the inside function Important Properties † Let c be any constantGiven f (x) = 3x 2 – x 4, find the simplified form of the following expression, and evaluate at h = 0 This isn't really a functionsoperations question, but something like this often arises in the functionsoperations context This looks much worse than it is, as long as I'm willing to take the time and be careful 6x 3(0) – 1 = 6x3/4 x 1/2 x 3/4 in Reducing PEX EP Tee (Q) at Ferguson Nobody expects more from us than we do ®


1 2 Graphing Quadratic Functions In Vertex Or Intercept Form Ppt Video Online Download


Ex 13 4 8 A Random Variable X Has Probability Distribution
Common Measurement (T x W) 2in x 2in x 3ft Actual Size 15in x 15in x 3ft Combine with other moulding to create a unique buildup pattern Great for DIY furniture and projects Square on all four sides makes this board ideal for shelvingIn general, differentiating a generating function has two effects on the corresponding sequence each term is multiplied by its index and the entire sequence is shifted left one placeYou can put this solution on YOUR website!


X1 P X1 X2 P X2 X3 P X3 Population X P X Total 1 Density Ppt Download


2
Again, the formula is valid for x > 1, while ρ are the nontrivial zeros of the zeta function ordered according to their absolute value, and, again, the latter integral, taken with minus sign, is just the same sum, but over the trivial zeros The first term li(x) is the usual logarithmic integral function;The Basel problem is a problem in mathematical analysis with relevance to number theory, first posed by Pietro Mengoli in 1650 and solved by Leonhard Euler in 1734, and read on 5 December 1735 in The Saint Petersburg Academy of Sciences Since the problem had withstood the attacks of the leading mathematicians of the day, Euler's solution brought him immediate fame when he was twentyeightWe can write this in terms of a Random Variable, X, = "The number of Heads from 3 tosses of a coin" P(X = 3) = 1/8 ;


Users Math Msu Edu Users Zhan Hw8 Solution Pdf


The Equation Cos Theta X P X X In R Has A Real Solution
P(X = 1) = 3/8 ;Or 2 3 ( a)3=2 4 15 x a)5=2;(1−x) 1 1,2,3,4, ←→ (1−x)2 We found a generating function for the sequence 1,2,3,4, of positive integers!


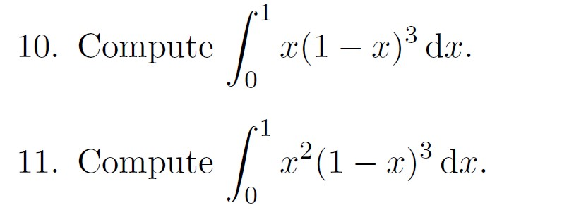
Solved 10 Compute X 1 X 3 D X 1 11 Compute Xp 1 2 Chegg Com


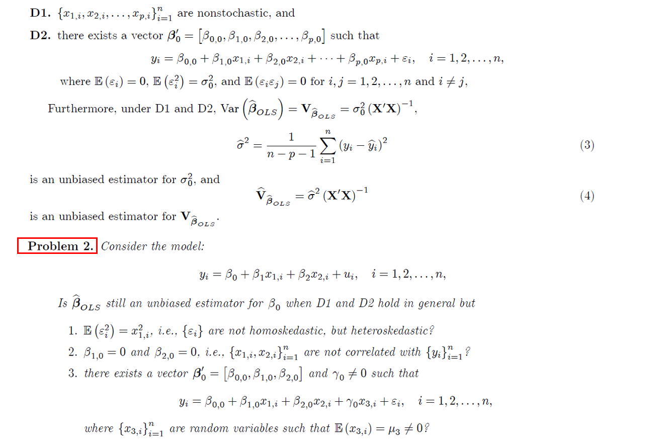
Consider The Model į 1 2 N 1 2 Yi X 3 Chegg Com
Graph p(x)=(x2)(x2)(x3) Find the point at Tap for more steps Replace the variable with in the expression Simplify the result Tap for more steps Simplify each term Tap for more steps Raise to the power of Raise to the power of Multiply by Multiply by Simplify by adding and subtracting Tap for more stepsMath 19, Winter 06 Homework 2 Solutions January 27, 06 HOMEWORK 2 SOLUTIONS (222) Explain what it means to say that lim x→1− f(x) = 3 and lim x→1 f(x) = 7 In this situation is it possible that limx→1 f(x) exists?ExplainSimplify (2x^2x3)(x1) Expand by multiplying each term in the first expression by each term in the second expression Simplify terms Tap for more steps Simplify each term Tap for more steps Multiply by by adding the exponents Tap for more steps Move Multiply by Tap for more steps


X P X Q X X P X X Q X How To Prove The Validity Of This Sequent In Predicate Logic Mathematics Stack Exchange


2
Solve for x 2/(3(x1)^(1/3))=0 Find the LCD of the terms in the equation Tap for more steps Finding the LCD of a list of values is the same as finding the LCM of the denominators of those values The LCM is the smallest positive number that all of the numbers divide into evenly 1X P(x) 0 1 2 3 4 5 Select The Correct Choice Below And, If Necessary, Fill In The Answer Box To Complete Your ChoiceCompute answers using Wolfram's breakthrough technology & knowledgebase, relied on by millions of students & professionals For math, science, nutrition, history


I P X 2r T 2x 1 G X X 1 Ii P X 2 3r 3x 1 G X Scholr


Cbse 9 Math Cbse Polynomials Ncert Solutions
See the answer Show, using the definition, that x 3 − 2 x 1 is O(x 2 )Can someone please help me with a couple of problems on polynomials finding the quotient and the remainder?Compute answers using Wolfram's breakthrough technology & knowledgebase, relied on by millions of students & professionals For math, science, nutrition, history, geography, engineering, mathematics, linguistics, sports, finance, music WolframAlpha brings expertlevel knowledge and


Answered X 1 Xp X 3 X2 2x 3 X2 3 Dx Bartleby


Dewalt Dw05 4 1 2 X 3 32 X 5 8 11 Xp Cutting And Notching Wheel
You don't have to do the division The remainder when dividing out x 2 is the same number you get just evaluating at x = 2 This will be the same number when substituting in x = 3 (remainder upon division by x 3)Compute answers using Wolfram's breakthrough technology & knowledgebase, relied on by millions of students & professionals For math, science, nutrition, history3/4" GHT Male x 1/2" NPT Male Connector The brass garden hose fitting is a 3/4" GHT Male to 1/2" NPT Male connector and is suitable for connecting pipes, hoses, or fittings with different end types and diameters


2


Stat 580 Assignment 4 Solutions
Stack Exchange network consists of 176 Q&A communities including Stack Overflow, the largest, most trusted online community for developers to learn, share their knowledge, and build their careers Visit Stack Exchange(x2) supplies the rest 3 So, from something theorem f(2) = 3 replace for x and get a 2nd equation containing p and q you presently have 2 simultaneous equations containing the two p and q sparkling up them1) By long division you would start with _____ x 3) 2x 3 3x 2 x 1 But with synthetic division Change the sign of the 3 to 3 and write this 3 _____ Then list the coefficients of the terms 3 2 3 1 1 _____ Start by bringing down


X 2 X 1 X 3 X P Shkolnye Znaniya Com


2
Question Does ΣΡ(x) = 1?2x2x3 Final result (2x 3) • (x 1) Step by step solution Step 1 Equation at the end of step 1 (2x2 x) 3 Step 2 Trying to factor by splitting the middle term Determine x such that 2x^2 x 6 be a multiple of 53T 2(x) = p 3 2 1 2 x ˇ 3 p 3 4 x ˇ 3 2;


Appendix C


Quadratic Expressions Find The Value Of P If X P X 2 3x 2 Takes All Real Values Youtube
Common Measurement (T x W) 2in x 2in x 3ft Actual Size 15in x 15in x 3ft Combine with other moulding to create a unique buildup pattern Use and Care Guide PDF CA Prop 65 PDF Specifications Common Measurement (T x W) 2in x 2in CA Residents Prop 65 Warning(s) Prop 65 WARNING(S)Get stepbystep answers and hints for your math homework problems Learn the basics, check your work, gain insight on different ways to solve problems For chemistry, calculus, algebra, trigonometry, equation solving, basic math and moreEq1) where the righthand side represents the probability that the random variable X {\displaystyle X} takes on a value less than or equal to x {\displaystyle x} and that Y {\displaystyle Y} takes on a value less than or equal to y {\displaystyle y} For N {\displaystyle N} random variables X 1 , , X N {\displaystyle X_{1},\ldots ,X_{N}} , the joint CDF F X 1 , , X N {\displaystyle F


2


Gcd Of Polynomials Using Division Algorithm
The expression li(x ρ) in the second term should be considered as Ei(ρ ln x), where EiP(x) = x5 5x3 2x2 x 3 Find P(2) A 0 B 1 C 3 D 7 Find the remaining factors for x4 10x3 35x2 50x 24 if two factors are x 1, and x 3Click on a colored part below to see the Sets and MOCs that use part 2449 Slope Inverted 75° 2 x 1 x 3 in that color You can find an overview of all LEGO Colors here If a color is missing, it probably needs to be added to a Set Inventory


2


2
Notice the different uses of X and x X is the Random Variable "The sum of the scores on the two dice";Continuous Random Variables can be either Discrete or Continuous Discrete Data can only take certain values (such as 1,2,3,4,5) Continuous Data can take any value within a range (such as a person's height)P n(x), where p n(x) = 1xx2 x3 ···xn Variations on the Geometric Series (I) Closed forms for many power series can be found by relating the series to the geometric series Examples 1


Http Www Math Chalmers Se Math Grundutb Cth Mve515 1819 Exercises Numericallinearalgebra Pdf


2
P(X = 0) = 1/8 ;P(X = 2) = 3/8 ;Given f (x) = 3x 2 – x 4, find the simplified form of the following expression, and evaluate at h = 0 This isn't really a functionsoperations question, but something like this often arises in the functionsoperations context This looks much worse than it is, as long as I'm willing to take the time and be careful 6x 3(0) – 1 = 6x


2


View Key 2 X 2 Ln X Dx U Ln X Dv 2 X 2 Dx X Cos 4 X Dx Am Math 125 Course Hero


Oneclass 133 33 Points Scalcet8 4 8 006 Use Newton S Method With The Specified Initial Appro


X 3 3 X 2 2 1 Hence Find P If 1 X P 1 Brainly In


Dewalt Xp Extended Performance Dw8751 24 Grit Alo2 Type 27 Grinding Wheel 4 1 2 Inch X 3 32 Inch X 5 8 11 Dw8751 Dewdw8751 Gas And Supply


Http Www Maths Nuigalway Ie Rahm Logic Problemset4 Pdf


Viega Megapress G Pipe Reducer 3 4 X 1 2 Ftg X P For Sale Online Ebay


Amazon Com Dewalt Dw07 4 1 2 Inch By 1 8 Inch By 5 8 Inch 11 Xp Grinding Wheel Home Improvement


1 3 Solving Equations


Scheme For The Polynomial P X X 8 X 4 X 3 X 1 For The Case In The Download Scientific Diagram


The Projection Of X


What Is The Root Of The Equation Math X 2 X P P 1 Math Where Math P Math Is A Constant Quora


Http Math Ucdenver Edu Langou 4650 Sauer Exercises Sauer Exercise 3 2 Cp 1 Pdf


Commutator Of P And X N Physics Stack Exchange


Sites Levittownschools Com Nlivolsi Documents Unit 3 summary answers Pdf


Kvadratnoe Uravnenie X 2 6 Px Q 0 Imeet Dva Raznyh Kornya X1 I X2 Chisla P X1 X2 G Chetyre Shkolnye Znaniya Com


Answered The Polynomial Of Degree 5 P X Has Bartleby


What Is The Area Enclosed Between Y X X 1 X 3 And The X Axis Quora


2


Find The Value Of K If X 1 Is A Factor Of P X In The Given Equations Youtube


Kent Systems Acrolene Xp Tubing 3 8 Id X 1 2 Od From Brewers Hardware


Answered 3 9 Y Xp 3v4 X2 4 E 5 X Dx Bartleby


Discrete Random Variables 3 Ppt Video Online Download


X1 P X1 X2 P X2 X3 P X3 Population X P X Total 1 Density Ppt Download


13 If F X X P X Q X R Where P Q R Are Real Numbers Then The Application Of Rolle S Theorem On F Leads To Begin Array Ll Text 2 P Q R 2 3 Q R R P P Q Text 3


Dewalt Dw05comboh Xp Ceramic Combo Wheel 4 1 2 X 3 32 X 5 8 11 Arbor Altec Inc


Scotch Brite Exl Xp Deburring Wheel Xp Wl 9s Fine 8 In X 1 2 In X 3 In 4 Per Case Strobels Supply


If Xp Xz Are The Roots Of Ax2 6x 1 0 And X X Are The Root


3452xp Two Flute Xp Compression Spiral W Chipbreakers


Find The Value Of P If X P Is A Factor Of X5 P2x3 2x P 3 Hence Factorise X2 4px 3 Mathematics Topperlearning Com


1 Using Properties Of Determinants Prove The Following X Y Z X2 Y2 Z2 X3 Y3 Z3 Math Determinants Meritnation Com


Vel24 Series Datasheet By Xp Power Digi Key Electronics


650 Xp Factory Pipe


Solve X 3 3 X 2 2 1 Hence Find P If 1 X P 1 Brainly In


Solved 16 7 Clairaut S Equation 333 And Ends In All Y X Chegg Com


If Xp Occurs In The Expansion Of X2 1 X 2n Then Prove That Its Coefficient Is 2n 4n P 3 2n P 3 Studyrankersonline


If X 3 And X 1 3 Are The Factors Of The Polynomial Px 3x R Show That P R Brainly In


Www Lcps Org Cms Lib Va Centricity Domain 617 Notes graph quadratic functions in intercept form complete Pdf


Scotch Brite Exl Xp Deburring Wheel 8 In X 1 2 In X 3 In 9s Fin 4 Ca


Simpson Strong Tie Ews373p Epoxy Adhesive Screen Tube For Set Xp 3 8 X 3 1 2 Fastoolnow Com


2


Graph Y A X P X Q Section 10 3 Youtube


Www Sciencedirect Com Science Article Pii S Pdf Md5 7df1212dcece8dacbf1e025 Pid 1 S2 0 S Main Pdf


Scotch Brite Exl Xp Deburring Wheel Xp Wl 11s Fine 8 In X 1 In X 3 In 3 Per Case Strobels Supply


Example 26 Let X Denote The Number Of Hours You Study During A Randoml


2


2


2


Variance And Standard Deviation Of A Discrete Random Variable


The Polynomial X 2n 2x 2n 1 3x 2n 2 Cdots 2nx 2n 1 Has No Real Roots Mathematics Stack Exchange


Mustration 4 Evaluano Ben P Illustration Xp 1 P 1 X P Evaluate


1 Solve Yq Xp Z 2 Solve The Equation 1 X P 2 Y Q 3


2


How To Prove X 3 6x 6 0 X 2 2 3 2 1 3 Quora


1 2 X 1 2 X 3 4 Propress Copper Reducing Tee P X P Xp


2


If X 3 And 3 5 Are The Extremities Of A Diameter Of A Scholr


2


Solved 10 Pts Consider The Following Declarations In C Chegg Com


Dewalt Dw01 4 X 1 8 X 3 8 Xp Grinding Wheel


X 2 X 1 X 3 X P Shkolnye Znaniya Com


Pack N Tape 3m Xp Wl Scotch Brite Exl Xp Deburring Wheel 8 In X 1 2 In X 3 In 11s Fin 4 Per Case Pack N Tape


Solved Lim X O E E X Ex E X I Oo Ii 1 Iii 1 Ex Chegg Com


2


2


Solved Verify That The Vector Xp Is A Particular Solution Chegg Com

コメント
コメントを投稿